



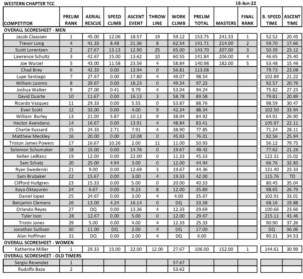
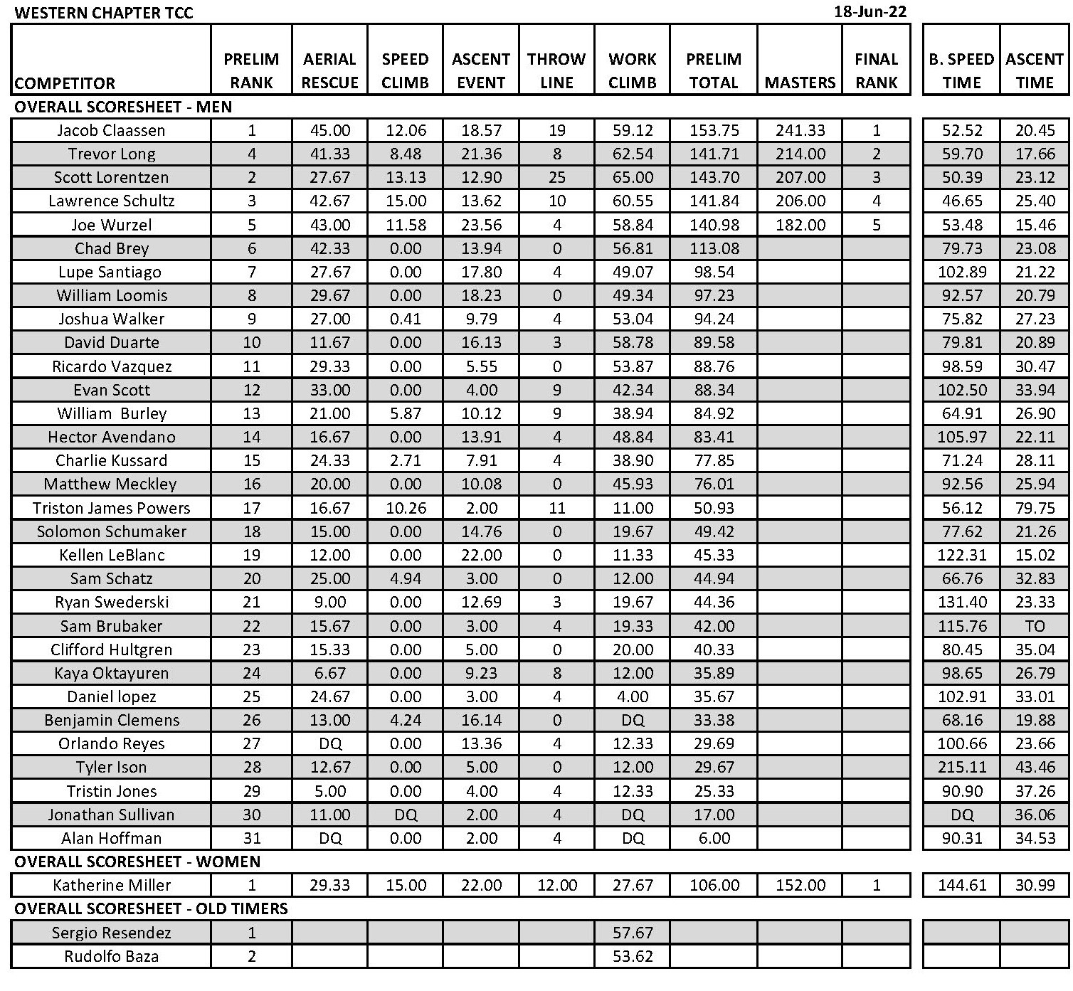
Women’s – Kate Miller
5th – Joe Wurzel
4th – Lawrence Schultz
3rd – Scott Lorenzen
2nd – Trevor Long
1st – Jacob Claassen

(pictured with WCTCC Chair – Philip Ruiz)
Judges pick – Jonathan Sullivan
Climbers pick – Michael Binger

Spend the morning outside with tree care pros Matt Meckley and Jared Abrojena. Safety is always a top priority in tree care. This year’s Day of Safety will focus on systems, loads and responses. Come on out and join us for the day.
Agenda:
| 7:30am | Registration |
|---|---|
| 8:00am | Climbing System Compatibility |
| 9:00am | Loads and Forces in Tree Work |
| 10:00am | Break |
| 10:15am | Aerial Rescue Techniques |
| 12:00 pm | Lunch (Provided) |
| 12:00pm | CEU Sign Out *Please allow up to 6 weeks for processing of CEUs |
Speaker Bios:
Matt Meckley
Matt is a hazard tree feller and climber working out of Oregon. He has traveled working up and down the west coast working on fire prevention. Additionally, he works as a trainer for The Academy and runs his own crews.
Jared Abrojena
Jared is a 9-time WCTCC climbing champ, co-owner of Evergreen Tree Care, and a founder of Academy-Trained with 23 years of experience. His passion for the arboricultural industry, as well as expertise, has preceded him. In 2019, Jared was able to watch one of his dreams come true when he, along with business partners, founded training company, Academy-Trained. Jared’s goal has always been to provide professional hands-on training in controlled environments. While teaming up with other professionals with the same vision and values, Jared and the Academy’s continuous mission is to Elevate the Standard through safety, training, and innovation.
REGISTER NOW https://www.wcisa.net/meeting/7000
It’s going to be a good one.